2025³â12¿ù26ÀÏfri
·Î±×ÀÎ | ȸ¿ø°¡ÀÔ
OFF
Æ®À§ÅÍ·Î º¸³»±â ½ÎÀÌ¿ùµå °ø°¨
±â»ç±ÛÈ®´ë ±â»ç±ÛÃà¼Ò ±â»ç½ºÅ©·¦ À̸ÞÀϹ®ÀÇ ÇÁ¸°Æ®Çϱâ
±¹Á¦¼º¸ð ±è¿µ¿í ±³¼ö, ¼Õ¸ñÅͳÎÁõÈıº »õ Áø´Ü¹ý Á¦½Ã
MRI(ÀÚ±â°ø¸í¿µ»ó) ÀÌ¿ë Á¤Áß½Å°æ µÎ²²
[ 2020³â 06¿ù 26ÀÏ 14½Ã 31ºÐ ]
[µ¥Àϸ®¸Þµð ÇÑÇØÁø ±âÀÚ] °¡Å縯°üµ¿´ë ±¹Á¦¼º¸ðº´¿ø(º´¿øÀå ±èÇöÅ ½ÅºÎ)Àº ¸¶ÃëÅëÁõÀÇÇаú ±è¿µ¿í ±³¼ö°¡ ¿¬±¸³í¹®À» ÅëÇØ ¼Õ¸ñÅͳÎÁõÈıºÀÇ »õ Áø´Ü¹æ¹ýÀ» °³¹ßÇß´Ù°í 26ÀÏ ¹àÇû´Ù.
 
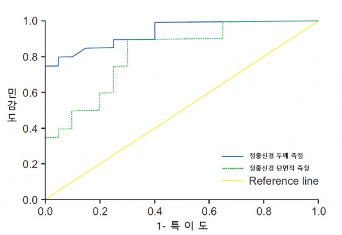
±è¿µ¿í ±³¼ö´Â À̹ø¿¡ ¹ßÇ¥ÇÑ ‘MRI(ÀÚ±â°ø¸í¿µ»ó)¸¦ ÀÌ¿ëÇÑ ¼Õ¸ñÅͳÎÁõÈıºÈ¯ÀÚ¿¡¼­ Á¤Áß½Å°æ µÎ²²ÀÇ Áø´ÜÇÐÀû °¡Ä¡’¶ó´Â ³í¹®À» ÅëÇØ Á¤Áß½Å°æ µÎ²²·Î ¼Õ¸ñÅͳÎÁõÈıºÀ» Áø´ÜÇÏ´Â ¹æ¹ýÀ» Á¦½ÃÇß´Ù.
 
¼Õ¸ñÅͳÎÁõÈıºÀº ¼ÕÀÇ °¨°¢°ú ¿îµ¿ ±â´ÉÀ» ´ã´çÇÏ´Â Á¤Á߽ŰæÀÌ Áö³ª´Â Åë·Î°¡ Áö¼ÓÀûÀÎ ¿ÜºÎÀڱؿ¡ ÀÇÇØ Á¼¾ÆÁö°Å³ª ¾Ð·ÂÀÌ Áõ°¡ÇØ ¹ßº´ÇÏ´Â ´ëÇ¥ÀûÀÎ ¼öºÎ ÁúȯÀÌ´Ù.

Åë·Î°¡ Á¼¾ÆÁö¸é Á¤Á߽ŰæÀ» ´­·¯ ÅëÁõ, Àú¸²Áõ»ó, ¿îµ¿Àå¾Ö µîÀÇ Áõ»óÀÌ ³ªÅ¸³­´Ù.
 
±è¿µ¿í ±³¼ö´Â “±âÁ¸¿¡ Á¤Áß½Å°æ ´Ü¸éÀûÀ» ÀÌ¿ëÇÑ Áø´Ü¹ýÀÌ ³Î¸® »ç¿ëµÇ°í ÀÖÁö¸¸, ÀÌ´Â ½Å°æ ´­¸²À» Á¦´ë·Î ¹Ý¿µÇÏÁö ¸øÇÒ ¼ö ÀÖ´Ù”¸ç “À̸¦ º¸¿ÏÇϱâ À§ÇØ µÎ²²¸¦ ÃøÁ¤ÇØ °è»êÇÏ´Â ¹æ¹ýÀ» ½ÃµµÇß´Ù”°í ¹è°æÀ» ¼³¸íÇß´Ù.
 
¿¬±¸ÆÀÀº ¼Õ¸ñ MRI(ÀÚ±â°ø¸í¿µ»ó)¸¦ ÀÌ¿ëÇØ ¼Õ¸ñÅͳÎÁõÈıº ȯÀÚ 20¸í°ú Á¤»óÀÎ 20¸íÀÇ Á¤Áß½Å°æ µÎ²²¸¦ ºÐ¼®Çϰí Áø´ÜÀÇ Á¤È®¼ºÀ» ÃøÁ¤Çß´Ù.

±× °á°ú ¼Õ¸ñÅͳÎÁõÈıº ȯÀÚÀÇ Á¤Á߽ŰæÀÌ Á¤»óÀκ¸´Ù ¾à 0.75mm ¾ãÀº °ÍÀ¸·Î ³ªÅ¸³µ´Ù.

¹Î°¨µµ(Áúº´ÀÌ ÀÖÀ» ¶§ ÀÖ´Ù°í Áø´ÜÇÒ È®·ü)¿Í ƯÀ̵µ(Áúº´ÀÌ ¾øÀ» ¶§ ¾ø´Ù°í Áø´ÜÇÒ È®·ü)´Â °¢°¢ 85%·Î ÃøÁ¤µÆ´Ù. ¹Ý¸é ±âÁ¸¿¡ »ç¿ëµÇ°í ÀÖ´Â ¹æ¹ýÀÎ Á¤Áß½Å°æ ´Ü¸éÀû ÃøÁ¤ÀÇ ¹Î°¨µµ¿Í ƯÀ̵µ´Â 75%·Î ÃøÁ¤µÆ´Ù.

±è¿µ¿í ±³¼ö´Â “¼Õ¸ñÅͳÎÁõÈıº ȯÀÚ¿¡¼­ Á¤Áß½Å°æ µÎ²² ÃøÁ¤ÀÌ ½Å¼Ó, Á¤È®ÇÔÀ» ¾Ë ¼ö ÀÖ¾ú´Ù”¸ç “¾ÕÀ¸·Îµµ ÀÓ»ó¿¡ µµ¿òµÇ´Â ´Ù¾çÇÑ ¿¬±¸¸¦ ¼öÇàÇØ ÀÇÇйßÀü¿¡ ±â¿©Çϰڴٔ°í ¸»Çß´Ù.
 
ÇÑÆí, À̹ø ¿¬±¸°á°ú´Â ´ëÇÑÅëÁõÇÐȸ¿¡¼­ ¹ßÇàÇÏ´Â SCIE±Þ Àú³ÎÀÎ ‘The Korean journal of pain’ ÃÖ½ÅÈ£¿¡ °ÔÀçµÆ´Ù.
hjhan@dailymedi.com
À̱âÀÚÀÇ ´Ù¸¥´º½ºº¸±â
¹«ÅëÀåÀÔ±Ý Á¤º¸ÀÔ·Â ÀÔ±ÝÀÚ¸í ÀԱݿ¹Á¤ÀÏÀÚ
(ÀÔ±ÝÇÏ½Ç ÀÔ±ÝÀÚ¸í + ÀԱݿ¹Á¤ÀÏÀÚ¸¦ ÀÔ·ÂÇϼ¼¿ä)
[°ü·Ã´º½º]
- °ü·Ã´º½º°¡ ¾ø½À´Ï´Ù.
Æ®À§ÅÍ·Î º¸³»±â ½ÎÀÌ¿ùµå °ø°¨
±â»ç±ÛÈ®´ë ±â»ç±ÛÃà¼Ò ±â»ç½ºÅ©·¦ À̸ÞÀϹ®ÀÇ ÇÁ¸°Æ®Çϱâ
¸íÁöº´¿ø, ͺ À̰ÇÈñ ȸÀå ÁÖÄ¡ÀÇ À̰­¿ì ±³¼ö(»ï¼º¼­¿ïº´¿ø ÀçȰÀÇÇаú) ¿µÀÔ
´ëÀü¼º¸ðº´¿ø ±èµ¿±â¡¤À̵¿Ã¢ ±³¼ö, ´ëÇÑÀ̺ñÀÎÈİúÇÐȸ ÃÖ¿ì¼ö ±¸¿¬»ó¡¤ÃÖ¿ì¼ö Æ÷½ºÅÍ»ó
Á¶Àç¿ì ±³¼ö(°í´ë±¸·Îº´¿ø Á¤Çü¿Ü°ú), ´ëÇѰñÀýÇÐȸ ÃÖ´Ù³í¹®»ó
´ëÇÑÀÇ»çÇùȸ ºÎȸÀå ¹éÇö¿í¡¤Àǹ«ÀÌ»ç ¿Àµ¿È£¡¤Á¤º¸Åë½ÅÀÌ»ç À¯¼Ò¿µèâ
Çѱ¹Á¦¾à¹ÙÀÌ¿ÀÇùȸ ÀǾàǰ±¤°í½ÉÀÇÀ§¿øÈ¸ À§¿øÀå ±è¼ºÁø¡¤ºÎÀ§¿øÀå ÀÌÁØÈñ¡¤ÀåÃá°ï èâ
¹è±â¼ö ±³¼ö(¾ÆÁִ뺴¿ø ¼Ò¾ÆÃ»¼Ò³â°ú), Á¦100ȸ ¾î¸°À̳¯ ¿ÁÁ¶±ÙÁ¤ÈÆÀå
À̺´ÈÆ¡¤½ÉÀç¾Ó ±³¼öÆÀ(±æº´¿ø Á¤Çü¿Ü°ú), ´ëÇѰñÀýÇÐȸ ¿ÃÇØ ¿ì¼ö ±¸¿¬»ó
³²°¡Àº ±³¼ö(°í´ë±¸·Îº´¿ø °¡Á¤ÀÇÇаú), Çѱ¹¿©ÀÚÀÇ»çȸ Á¦4ȸ ÀþÀºÀÇÇÐÀÚ Çмú»ó
±¹¸³Áß¾ÓÀÇ·á¿ø Áß¾ÓÀÀ±ÞÀÇ·á¼¾ÅÍÀå ±è¼ºÁß(Á¶¼±´ëº´¿ø ÀÀ±ÞÀÇÇаú ±³¼ö)
ÃÖÁ¤¿õ ¿µ°æÀÇ·áÀç´Ü ÀüÁÖº´¿ø ÀÌ»çÀå, ¾Æµ¿º¸È£»ç¾÷ ±â±Ý 4000¸¸¿ø
±è¿µÁÖ ±³¼ö(ÀÌ´ë¸ñµ¿º´¿ø »êºÎÀΰú), Á¦13ȸ Çѵ¶¿©ÀÇ»çÇмú´ë»ó
¹ÚÂùÈì ±³¼ö(ÇѸ²´ëÃáõ¼º½Éº´¿ø À̺ñÀÎÈİú), ´ëÇÑÀ̺ñÀÎÈİúÇÐȸ Çмú»ó
Á¶¼öÁø ±³¼ö(ÇѸ²´ëµ¿Åº¼º½Éº´¿ø ½Å°æ°ú), Á¦26ȸ JWÁß¿ÜÇмú´ë»ó
¼­Á¤°Ç ¿¬¼¼¼­³»°ú ¿øÀå ÀåÀλó