2026³â02¿ù01ÀÏsun
·Î±×ÀÎ | ȸ¿ø°¡ÀÔ
OFF
Æ®À§ÅÍ·Î º¸³»±â ½ÎÀÌ¿ùµå °ø°¨
±â»ç±ÛÈ®´ë ±â»ç±ÛÃà¼Ò ±â»ç½ºÅ©·¦ À̸ÞÀϹ®ÀÇ ÇÁ¸°Æ®Çϱâ
"Äڷγª19 ¹é½Å 2Â÷ Á¢Á¾ ÈÄ Ç×ü 98~100% »ý¼º"
ÇѸ²ÀÇ´ë ±èÇö¼ö ±³¼öÆÀ, ¹é½Å Á¢Á¾ ÀÇ·áÁø 228¸í ºÐ¼®
[ 2021³â 10¿ù 28ÀÏ 09½Ã 42ºÐ ]
 
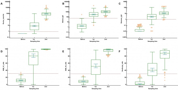
Äڷγª19 ¹é½Å Á¢Á¾ ÈÄ Ç×ü¿ª°¡ º¯È­ ±×·¡ÇÁ/ÀÚ·áÁ¦°ø=ÇѸ²´ëÀÇ·á¿ø
[µ¥Àϸ®¸Þµð ±¸±³À± ±âÀÚ] ±¹³» ¿¬±¸ÁøÀÌ ½ÅÁ¾ Äڷγª¹ÙÀÌ·¯½º °¨¿°Áõ(Äڷγª19) ¹é½Å Á¢Á¾ ÈÄ Æ¯ÀÌ Ç×ü¸¦ Çü¼ºÇÒ È®·üÀÎ 'Ç×ü¾ç¼º·ü'°ú Ç×ü Á¤·® ¼öÄ¡¸¦ È®ÀÎÇÒ ¼ö ÀÖ´Â 'Ç×ü¿ª°¡'°¡ ¾î¶»°Ô ´Þ¶óÁö´ÂÁö ¹àÇô³Â´Ù.
 
ÇѸ²´ëÇб³µ¿Åº¼º½Éº´¿ø Áø´Ü°Ë»çÀÇÇаú ±èÇö¼ö ±³¼ö(±³½ÅÀúÀÚ), ÇѸ²´ëÇб³°­³²¼º½Éº´¿ø Áø´Ü°Ë»çÀÇÇаú Á¤¼¼¸®, ÀÌ´©¸® ±³¼ö(°øµ¿ Á¦1ÀúÀÚ) ¿¬±¸ÆÀÀº ±¹³» ÀÇ·áÁ÷ Á¾»çÀÚ 228¸íÀ» ´ë»óÀ¸·Î ¾Æ½ºÆ®¶óÁ¦³×Ä« ¹é½Å Á¢Á¾ ÀüÈÄ Ç×ü¾ç¼º·ü°ú Ç×ü¿ª°¡¸¦ ÁßÈ­Ç×ü¸¦ Æ÷ÇÔÇÑ 5Á¾·ùÀÇ °Ë»ç½Ã¾àÀ¸·Î ÃøÁ¤Çß´Ù.
 
±× °á°ú, Äڷγª19 Ç×ü¾ç¼º·üÀº Á¢Á¾ Àü 0.0~0.9%¿¡¼­ 1Â÷ Á¢Á¾ ÈÄ 66.2~92.5%·Î »ó½ÂÇß°í, 2Â÷ Á¢Á¾ ÈÄ¿¡´Â 98.2~100%±îÁö »ó½ÂÇÏ´Â °ÍÀ¸·Î ³ªÅ¸³µ´Ù. 
 
Ç×ü¿ª°¡´Â 2Â÷ Á¢Á¾ ÈÄ Å©°Ô Áõ°¡Çß´Ù.

¿¬±¸¿¡ µû¸£¸é °Ë»ç½Ã¾à¿¡ µû¶ó Â÷À̰¡ ÀÖ¾úÁö¸¸ 1Â÷ Á¢Á¾ Èĺ¸´Ù 2Â÷ Á¢Á¾ ÈÄ Ç×ü¿ª°¡°¡ Å©°Ô Áõ°¡Çß´Ù. ·Î½´ ÃÑÇ×ü 106.4¹è, ¾Öº¸Æ® IgG 3.6¹è, Áö¸à½º IgG 3.6¹è, ¿¡½ºµð¹ÙÀÌ¿À¼¾¼­ ÁßÈ­Ç×ü 1.2¹è, Áø½ºÅ©¸³Æ® ÁßÈ­Ç×ü 2.2¹è·Î ³ªÅ¸³µ´Ù.
 
±èÇö¼ö ±³¼ö´Â "°Ç°­ÇÑ ¼ºÀÎÀ» ´ë»óÀ¸·Î ÇÑ ´ë±Ô¸ð ¿¬±¸·Î ¾Æ½ºÆ®¶óÁ¦³×Ä« ¹é½Å 2Â÷ Á¢Á¾ ÈÄ 100% °¡±î¿î Á¢Á¾ÀÚ¿¡°Ô¼­ Ç×ü°¡ »ý¼ºµÆ°í, Ç×ü¿ª°¡µµ Å©°Ô Áõ°¡ÇÑ °ÍÀ¸·Î È®ÀεƴÙ"°í ¸»Çß´Ù. 
 
±×´Â À̾î "Ç×ü »ý¼ºÀÌ Äڷγª19¿¡ ´ëÇÑ ¿ÂÀüÇÑ ¸é¿ª·Â ȹµæÀ» ÀǹÌÇÏ´Â °ÍÀº ¾Æ´Ï´Ù"¶ó¸ç "´Ù¸¥ ¿¬±¸¿¡¼­ Ç×ü¿ª°¡°¡ ½Ã°£ÀÌ Áö³²¿¡ µû¶ó °¨¼ÒµÇ´Â °ÍÀÌ È®ÀÎµÆ°í µ¹ÆÄ°¨¿°µµ ¸¹Àº ¸¸Å­ ¹é½Å È¿°ú¸¦ °ú½ÅÇØ¼­´Â ¾È µÈ´Ù”°í °­Á¶Çß´Ù.
 
ÇÑÆí, À̹ø ¿¬±¸´Â SCI±Þ ±¹Á¦Àú³ÎÀÎ 'ÀÓ»ó¹Ì»ý¹°ÇÐ' ¿Â¶óÀÎÆÇ¿¡ °ÔÀçµÆ´Ù.
yun@dailymedi.com
À̱âÀÚÀÇ ´Ù¸¥´º½ºº¸±â
¹«ÅëÀåÀÔ±Ý Á¤º¸ÀÔ·Â ÀÔ±ÝÀÚ¸í ÀԱݿ¹Á¤ÀÏÀÚ
(ÀÔ±ÝÇÏ½Ç ÀÔ±ÝÀÚ¸í + ÀԱݿ¹Á¤ÀÏÀÚ¸¦ ÀÔ·ÂÇϼ¼¿ä)
[°ü·Ã´º½º]
"Äڷγª19 ¿ÏÄ¡ÀÚ, ¹é½Å 1ȸ Á¢Á¾À¸·Î Ç×ü »ý¼º ÃæºÐ"
Æ®À§ÅÍ·Î º¸³»±â ½ÎÀÌ¿ùµå °ø°¨
±â»ç±ÛÈ®´ë ±â»ç±ÛÃà¼Ò ±â»ç½ºÅ©·¦ À̸ÞÀϹ®ÀÇ ÇÁ¸°Æ®Çϱâ
¸íÁöº´¿ø, ͺ À̰ÇÈñ ȸÀå ÁÖÄ¡ÀÇ À̰­¿ì ±³¼ö(»ï¼º¼­¿ïº´¿ø ÀçȰÀÇÇаú) ¿µÀÔ
´ëÀü¼º¸ðº´¿ø ±èµ¿±â¡¤À̵¿Ã¢ ±³¼ö, ´ëÇÑÀ̺ñÀÎÈİúÇÐȸ ÃÖ¿ì¼ö ±¸¿¬»ó¡¤ÃÖ¿ì¼ö Æ÷½ºÅÍ»ó
Á¶Àç¿ì ±³¼ö(°í´ë±¸·Îº´¿ø Á¤Çü¿Ü°ú), ´ëÇѰñÀýÇÐȸ ÃÖ´Ù³í¹®»ó
´ëÇÑÀÇ»çÇùȸ ºÎȸÀå ¹éÇö¿í¡¤Àǹ«ÀÌ»ç ¿Àµ¿È£¡¤Á¤º¸Åë½ÅÀÌ»ç À¯¼Ò¿µèâ
Çѱ¹Á¦¾à¹ÙÀÌ¿ÀÇùȸ ÀǾàǰ±¤°í½ÉÀÇÀ§¿øÈ¸ À§¿øÀå ±è¼ºÁø¡¤ºÎÀ§¿øÀå ÀÌÁØÈñ¡¤ÀåÃá°ï èâ
¹è±â¼ö ±³¼ö(¾ÆÁִ뺴¿ø ¼Ò¾ÆÃ»¼Ò³â°ú), Á¦100ȸ ¾î¸°À̳¯ ¿ÁÁ¶±ÙÁ¤ÈÆÀå
À̺´ÈÆ¡¤½ÉÀç¾Ó ±³¼öÆÀ(±æº´¿ø Á¤Çü¿Ü°ú), ´ëÇѰñÀýÇÐȸ ¿ÃÇØ ¿ì¼ö ±¸¿¬»ó
³²°¡Àº ±³¼ö(°í´ë±¸·Îº´¿ø °¡Á¤ÀÇÇаú), Çѱ¹¿©ÀÚÀÇ»çȸ Á¦4ȸ ÀþÀºÀÇÇÐÀÚ Çмú»ó
±¹¸³Áß¾ÓÀÇ·á¿ø Áß¾ÓÀÀ±ÞÀÇ·á¼¾ÅÍÀå ±è¼ºÁß(Á¶¼±´ëº´¿ø ÀÀ±ÞÀÇÇаú ±³¼ö)
ÃÖÁ¤¿õ ¿µ°æÀÇ·áÀç´Ü ÀüÁÖº´¿ø ÀÌ»çÀå, ¾Æµ¿º¸È£»ç¾÷ ±â±Ý 4000¸¸¿ø
±è¿µÁÖ ±³¼ö(ÀÌ´ë¸ñµ¿º´¿ø »êºÎÀΰú), Á¦13ȸ Çѵ¶¿©ÀÇ»çÇмú´ë»ó
¹ÚÂùÈì ±³¼ö(ÇѸ²´ëÃáõ¼º½Éº´¿ø À̺ñÀÎÈİú), ´ëÇÑÀ̺ñÀÎÈİúÇÐȸ Çмú»ó
Á¶¼öÁø ±³¼ö(ÇѸ²´ëµ¿Åº¼º½Éº´¿ø ½Å°æ°ú), Á¦26ȸ JWÁß¿ÜÇмú´ë»ó
¼­Á¤°Ç ¿¬¼¼¼­³»°ú ¿øÀå ÀåÀλó