2026³â02¿ù01ÀÏsun
·Î±×ÀÎ | ȸ¿ø°¡ÀÔ
OFF
Æ®À§ÅÍ·Î º¸³»±â ½ÎÀÌ¿ùµå °ø°¨
±â»ç±ÛÈ®´ë ±â»ç±ÛÃà¼Ò ±â»ç½ºÅ©·¦ À̸ÞÀϹ®ÀÇ ÇÁ¸°Æ®Çϱâ
ÀÚ»ýôÃß°üÀý¿¬±¸¼Ò "ÇÑÀÇÅëÇÕÄ¡·á, °æÃßô¼öÁõ È¿°ú"
"Àå±âÃßÀû°üÂû °á°ú °¢ ÁöÇ¥ È£Àü ¾ç»ó ¶Ñ·Ç, SCI±Þ ÇмúÁö °ÔÀç"
[ 2022³â 04¿ù 04ÀÏ 11½Ã 37ºÐ ]
[µ¥Àϸ®¸Þµð ¹ÚÁ¤¿¬ ±âÀÚ] ÇÑÀÇÅëÇÕÄ¡·á°¡ °æÃßô¼öÁõ¿¡ È¿°ú°¡ ÀÖ´Ù´Â ±¹³» ¿¬±¸ °á°ú°¡ ³ª¿Ô´Ù.
 
ÀÚ»ýÇѹ溴¿ø ôÃß°üÀý¿¬±¸¼Ò(¼ÒÀå ÇÏÀÎÇõ)´Â ÃÖ±Ù °æÃßô¼öÁõ¿¡ ´ëÇÑ ºñ¼ö¼ú ÇÑÀÇÅëÇÕÄ¡·áÀÇ ÀÓ»óÀû À¯È¿¼ºÀ» ¹àÈù ¿¬±¸³í¹®À» ¹ßÇ¥Çß´Ù°í 4ÀÏ ¹àÇû´Ù.

°æÃßô¼öÁõÀº °æÃßÀÇ ÅðÇ༺ º¯È­ µîÀ¸·Î ÁßÃß ½Å°æÀÌ ´­·Á ÆÈ °¨°¢ ÀÌ»ó°ú ¸¶ºñ µîÀ» À¯¹ßÇÏ´Â ÁúȯÀÌ´Ù. ¸»ÃʽŰæÀ» ¾Ð¹ÚÇÏ´Â ¸ñµð½ºÅ©¿Í ´Ù¸£°Ô ÁßÃ߽ŰæÀ» ÀÚ±ØÇϰí ÀÖ¾î ¹°¸®Ä¡·á³ª ¾à¹°Ä¡·á µîÀ¸·Î Àß È£ÀüµÇÁö ¾Ê¾Æ ÀϹÝÀûÀ¸·Î ¼ö¼úÀû Á¢±ÙÀÌ ÇàÇØÁö´Â Ư¡ÀÌ ÀÖ´Ù.
 
³í¹®¿¡ µû¸£¸é °æÃßô¼öÁõ ȯÀÚ°¡ ºñ¼ö¼ú Ä¡·á¹ýÀÎ ÇÑÀÇÅëÇÕÄ¡·á¸¦ ¹ÞÀº °á°ú, ÅëÁõ°ú ±â´ÉÀå¾Ö´Â ÁÙ°í »îÀÇ ÁúÀº Çâ»óµÇ´Â °ÍÀ¸·Î ³ªÅ¸³µ´Ù. 
 
À̹ø ¿¬±¸¸¦ À§ÇØ ÀÚ»ýÇѹ溴¿ø ôÃß°üÀý¿¬±¸¼Ò Á¶Çö¿ì ¿øÀå ¿¬±¸ÆÀ(ÇØ¿î´ëÀÚ»ýÇѹ溴¿ø)Àº 2011³â 1¿ùºÎÅÍ 2018³â 1¿ù±îÁö °æÃßô¼öÁõÀ¸·Î Àü±¹ 5°³ ÀÚ»ýÇѹ溴¿ø¿¡ ÀÔ¿øÇÑ È¯ÀÚ¸¦ ´ë»óÀ¸·Î ¿¬±¸¸¦ ÁøÇàÇß´Ù.

¿¬±¸ÆÀÀº ½Å°æÇÐÀû Àå¾Ö°¡ ¾ø´Â ȯÀÚ¸¦ Á¦¿ÜÇϰí ÃÑ 40¸íÀÇ È¯ÀÚ¸¦ ÃÖÁ¾ ´ë»óÀÚ·Î Á¤Çß´Ù. À̵éÀº ¾à 3ÁÖ(21.9ÀÏ)°£ ÇÑÀÇÅëÇÕÄ¡·á(Ãß³ª¿ä¹ý, ħġ·á, ¾àħ, ÇѾà ó¹æ)¸¦ ¹ÞÀº °ÍÀ¸·Î ³ªÅ¸³µ´Ù.
 
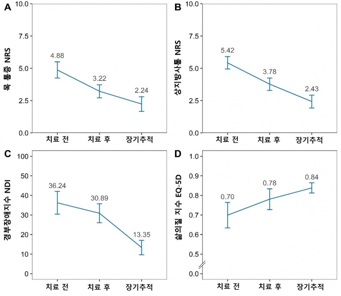
¿¬±¸ °á°ú, ¸ñ·ÆÈ ÅëÁõ NRS´Â °¢°¢ Ä¡·á Àü ÁߵÀÇ ÅëÁõÀÎ 4.88, 5.42¿¡¼­ ÇÑÀÇÅëÇÕÄ¡·á ÈÄ °æ¹ÌÇÑ ÅëÁõ(3Á¡´ë) ¼öÁØÀ¸·Î ¶³¾îÁ® À¯ÀǹÌÇÑ Ä¡·á È¿°ú°¡ È®ÀεƴÙ.

NDI ÁöÇ¥ÀÇ °æ¿ì Áߵ Àå¾Ö ¼öÁØÀÎ 36.24ÀÌ Ä¡·á ÈÄ 30.89·Î ¼ÒÆø °³¼±µÆ´Ù. ¶ÇÇÑ »îÀÇ Áú¿¡¼­µµ EQ-5D °ªÀº 0.70¿¡¼­ 0.78·Î ¿Ã¶ó ±àÁ¤ÀûÀÎ º¯È­°¡ È®ÀεƴÙ.
 
È£Àü ¾ç»óÀº Àå±âÃßÀû°üÂû¿¡¼­ ´õ ¶Ñ·ÇÇÑ º¯È­¸¦ º¸¿´´Ù.

¿¬±¸ÆÀÀº Ä¡·á ½ÃÁ¡À» ±âÁØÀ¸·Î ¾à 2³â6°³¿ùµÚ Àå±âÃßÀû ¼³¹®Á¶»ç¸¦ ½Ç½ÃÇßÀ¸¸ç ÃÑ 21¸íÀÌ Âü¿©Çß´Ù. ÃßÀû °á°ú ¸ñ·ÆÈ ÅëÁõ NRS´Â °æ¹ÌÇÑ ¼öÁØÀÎ 2Á¡´ë·Î °¨¼ÒÇß´Ù.

ƯÈ÷ NDIÀÇ °æ¿ì 13.35·Î ´ëÆø °³¼±µÆ´Ù. ȯÀÚ Ä¡·á ¸¸Á·µµ Á¶»ç¿¡¼­µµ 1¸íÀ» Á¦¿ÜÇϰí 95.8%(20¸í)°¡ ‘È£ÀüµÆ´Ù’°í ´äÇß´Ù.
 
Á¶ ¿øÀåÀº “ħ½ÀÀû Ä¡·á¹ýÀÌ ÁÖ·Î °í·ÁµÆ´ø °æÃßô¼öÁõ¿¡ ÇÑÀÇÅëÇÕÄ¡·á°¡ Àå±âÀûÀÎ °üÁ¡¿¡¼­ ÅëÁõ°ú ±â´ÉÀå¾Ö¸¦ È¿°úÀûÀ¸·Î °³¼±ÇÏ°í »îÀÇ Áú±îÁö Çâ»ó½Ãų ¼ö ÀÖ´Ù´Â °ÍÀÌ È®Àεƴٔ¸ç “¾ÕÀ¸·Îµµ ´Ù¾çÇÑ ±Ù°ñ°Ý°è Áúȯ ºñ¼ö¼ú Ä¡·á¿¡¼­ ÇÑÀÇÅëÇÕÄ¡·áÀÇ Ç¥ÁØÈ­¸¦ À§ÇÑ °´°üÀûÀÎ ±Ù°Å Á᫐ ¿¬±¸¸¦ À̾°¥ °Í”À̶ó°í ¸»Çß´Ù.

ÇÑÆí, ÇØ´ç ¿¬±¸³í¹®Àº SCI(E)±Þ Àú³Î ‘Journal of pain research(IF=3.133)’ 3¿ùÈ£¿¡ °ÔÀçµÆ´Ù.
mut@dailymedi.com
À̱âÀÚÀÇ ´Ù¸¥´º½ºº¸±â
¹«ÅëÀåÀÔ±Ý Á¤º¸ÀÔ·Â ÀÔ±ÝÀÚ¸í ÀԱݿ¹Á¤ÀÏÀÚ
(ÀÔ±ÝÇÏ½Ç ÀÔ±ÝÀÚ¸í + ÀԱݿ¹Á¤ÀÏÀÚ¸¦ ÀÔ·ÂÇϼ¼¿ä)
[°ü·Ã´º½º]
- °ü·Ã´º½º°¡ ¾ø½À´Ï´Ù.
Æ®À§ÅÍ·Î º¸³»±â ½ÎÀÌ¿ùµå °ø°¨
±â»ç±ÛÈ®´ë ±â»ç±ÛÃà¼Ò ±â»ç½ºÅ©·¦ À̸ÞÀϹ®ÀÇ ÇÁ¸°Æ®Çϱâ
¸íÁöº´¿ø, ͺ À̰ÇÈñ ȸÀå ÁÖÄ¡ÀÇ À̰­¿ì ±³¼ö(»ï¼º¼­¿ïº´¿ø ÀçȰÀÇÇаú) ¿µÀÔ
´ëÀü¼º¸ðº´¿ø ±èµ¿±â¡¤À̵¿Ã¢ ±³¼ö, ´ëÇÑÀ̺ñÀÎÈİúÇÐȸ ÃÖ¿ì¼ö ±¸¿¬»ó¡¤ÃÖ¿ì¼ö Æ÷½ºÅÍ»ó
Á¶Àç¿ì ±³¼ö(°í´ë±¸·Îº´¿ø Á¤Çü¿Ü°ú), ´ëÇѰñÀýÇÐȸ ÃÖ´Ù³í¹®»ó
´ëÇÑÀÇ»çÇùȸ ºÎȸÀå ¹éÇö¿í¡¤Àǹ«ÀÌ»ç ¿Àµ¿È£¡¤Á¤º¸Åë½ÅÀÌ»ç À¯¼Ò¿µèâ
Çѱ¹Á¦¾à¹ÙÀÌ¿ÀÇùȸ ÀǾàǰ±¤°í½ÉÀÇÀ§¿øÈ¸ À§¿øÀå ±è¼ºÁø¡¤ºÎÀ§¿øÀå ÀÌÁØÈñ¡¤ÀåÃá°ï èâ
¹è±â¼ö ±³¼ö(¾ÆÁִ뺴¿ø ¼Ò¾ÆÃ»¼Ò³â°ú), Á¦100ȸ ¾î¸°À̳¯ ¿ÁÁ¶±ÙÁ¤ÈÆÀå
À̺´ÈÆ¡¤½ÉÀç¾Ó ±³¼öÆÀ(±æº´¿ø Á¤Çü¿Ü°ú), ´ëÇѰñÀýÇÐȸ ¿ÃÇØ ¿ì¼ö ±¸¿¬»ó
³²°¡Àº ±³¼ö(°í´ë±¸·Îº´¿ø °¡Á¤ÀÇÇаú), Çѱ¹¿©ÀÚÀÇ»çȸ Á¦4ȸ ÀþÀºÀÇÇÐÀÚ Çмú»ó
±¹¸³Áß¾ÓÀÇ·á¿ø Áß¾ÓÀÀ±ÞÀÇ·á¼¾ÅÍÀå ±è¼ºÁß(Á¶¼±´ëº´¿ø ÀÀ±ÞÀÇÇаú ±³¼ö)
ÃÖÁ¤¿õ ¿µ°æÀÇ·áÀç´Ü ÀüÁÖº´¿ø ÀÌ»çÀå, ¾Æµ¿º¸È£»ç¾÷ ±â±Ý 4000¸¸¿ø
±è¿µÁÖ ±³¼ö(ÀÌ´ë¸ñµ¿º´¿ø »êºÎÀΰú), Á¦13ȸ Çѵ¶¿©ÀÇ»çÇмú´ë»ó
¹ÚÂùÈì ±³¼ö(ÇѸ²´ëÃáõ¼º½Éº´¿ø À̺ñÀÎÈİú), ´ëÇÑÀ̺ñÀÎÈİúÇÐȸ Çмú»ó
Á¶¼öÁø ±³¼ö(ÇѸ²´ëµ¿Åº¼º½Éº´¿ø ½Å°æ°ú), Á¦26ȸ JWÁß¿ÜÇмú´ë»ó
¼­Á¤°Ç ¿¬¼¼¼­³»°ú ¿øÀå ÀåÀλó